inferential statics in Ruwen Schnabel's article

Feel free to ask any question here
Post Reply
hbstone
Posts: 3
Joined: Sat Dec 18, 2010 5:53 pm

inferential statics in Ruwen Schnabel's article

Post by hbstone »

yesterday,i read Ruwen Schnabel's article "Efficient RANSAC for Point-Cloud Shape Detection",there are some points i can't understand

In "4.5 Score evaluation" part,he say we can get the score on the all points with the inferential statics

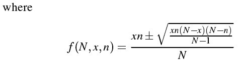
1、i can't understand the meaning of the three parameters in inferential statics and where the formula come from

2、why to add the negative sign and the number(-2 or -1) before three parameters

3、S1 means the first subset, P = {S1,S2,......,Sr},σ(S1 ) (ψ) means the score again the first subset S1. if r = 1, P= {S1}, and S1 in a single geometry(for example plane), σ(S1 ) (ψ) = P = S1, so f(N,x,n) = σ(S1 ) (ψ) = P = S1, the estimate value of σ(S1 ) (ψ) = -1 - f, the value is less than zero. which is impossible

Sincerely Hongwu Shi
Attachments
statics infer.jpg
statics infer.jpg (7.04 KiB) Viewed 12611 times
hyperdistri.jpg
hyperdistri.jpg (8.59 KiB) Viewed 12611 times
daniel
Site Admin
Posts: 8178
Joined: Wed Oct 13, 2010 7:34 am
Location: Grenoble, France
Contact:

Re: inferential statics in Ruwen Schnabel's article

Post by daniel »

First, I must admit that I've not studied this paper in depth (I mainly integrated Schnabel's library in a plugin and played with the parameter a bit after a quick overview of his paper).

But here are a few guesses:
  • Obviously, you need at least 3 points to define the simplest shape (a plane) so a cloud with only 1 point (r=1) can't be considered as a proper case
  • The only reason I see for all the 'minus' signs everywhere must be to make the equation (9) nicer (you can easily invert N, x and n, and you'll get almost the same equation with '2+|S1|' instead as denominator and something strictly positive above because xn > -N )
And as where the equation (8) comes from... have you tried to ask Ruwen Schnabel directly?
Daniel, CloudCompare admin
hbstone
Posts: 3
Joined: Sat Dec 18, 2010 5:53 pm

Re: inferential statics in Ruwen Schnabel's article

Post by hbstone »

daniel wrote:First, I must admit that I've not studied this paper in depth (I mainly integrated Schnabel's library in a plugin and played with the parameter a bit after a quick overview of his paper).

But here are a few guesses:
  • Obviously, you need at least 3 points to define the simplest shape (a plane) so a cloud with only 1 point (r=1) can't be considered as a proper case
  • The only reason I see for all the 'minus' signs everywhere must be to make the equation (9) nicer (you can easily invert N, x and n, and you'll get almost the same equation with '2+|S1|' instead as denominator and something strictly positive above because xn > -N )
And as where the equation (8) comes from... have you tried to ask Ruwen Schnabel directly?
First thank you very much for your reply and your work in cloud compare, which helps me very much!

There may be some points i did not say clearly. in the first formula,Sr means a subset in P,where P={S1,S2,...Sr}, Sr may contain a large number of points, so it is not only one point. if r = 1, then P={S1},N = x, the estimate value is a minus one. in addition, i think there may be no need to estimate score with hypere distribution, Parallel computing with GPU can be a good choice

I have sent email to ruwen Schnabel(schnabel@cs.uni-bonn.de), but rejected. is there anything wrong? can you help me to get in touch with him?

Thank your very much again

Hongwu Shi
daniel
Site Admin
Posts: 8178
Joined: Wed Oct 13, 2010 7:34 am
Location: Grenoble, France
Contact:

Re: inferential statics in Ruwen Schnabel's article

Post by daniel »

I'm still not sure that r=1 is a good case as if you only have one subset, there's no point in doing all this optimization and random sampling scheme.

It seems that Ruwen Schnabel has not published any paper after 2010... You could ask another member of its former laboratory (Reinhard Klein for instance?).
Daniel, CloudCompare admin
hbstone
Posts: 3
Joined: Sat Dec 18, 2010 5:53 pm

Re: inferential statics in Ruwen Schnabel's article

Post by hbstone »

daniel wrote:I'm still not sure that r=1 is a good case as if you only have one subset, there's no point in doing all this optimization and random sampling scheme.

It seems that Ruwen Schnabel has not published any paper after 2010... You could ask another member of its former laboratory (Reinhard Klein for instance?).
Ok,thank you,i'll have a try
Post Reply